making a merger

quick march through the merger minefield

on this page

> King Solomon
> approach
> critical success factors
> pitfalls
> planning & analysis
> evaluation
> business streams
> technology streams
> how we can help
 
home page contact us

Merger and acquisition activity is everywhere.  Banking, insurance, pharmaceuticals, oil, car manufacturers, telecommunications, publishing, software ... can you name an industry that doesn't have any major consolidation going on right now?

The stakes are high.  A successful bid will have convinced a range of interested parties, possibly including shareholders and institutions, directors, managers and workers, governments, regulators and the media.  Promises have been made, expectations have been set.  Now it's time to deliver the goods.

Mergers are complex and risky endeavours.  Even wise King Solomon botched one. Veryard Projects applies clear, simple and yet innovative thinking to the management of complexity and risk.

Our approach is based on the component-based business - a way of structuring an enterprise, process, organization or system in which self-contained units (or "components") provide services to one another.

This provides a clear and simple framework for understanding the full implications of the task facing the merged organization, and for planning and managing the merger programme.
 
please writeHave you been through a merger recently - or are you in the middle of one right now? We'd love to hear from you - do tell us what you've learned, and what problems you experienced.


veryard projects - innovation for demanding change

King Solomon's Merger

veryard projects > cbb > mergers > King Solomon


Solomon merged the royal bodyguards with the army. “In David’s time, these two functions were still separate. David’s troop of professional soldiers, the Cherethites and Pelethites (Cretans and Philistines), and the volunteer fighters from the adult men of Israel, groups which had been rivals till then, were forcibly united. Thus an all-important privilege and weapon of the individual tribes was taken from them. This was a political error on Solomon’s part, a tribute he had to pay to his paladins, and it soon cost him dearly. Edom and Damascus defected and were not won back. The northern tribes attempted an uprising. Solomon was able to put down the rebellion, but it did grievous harm to the body politic.” 

[Walter Beltz, God and the Gods (English translation, Penguin, 1983), pp 16-17]

veryard projects - innovation for demanding change

Approach: Component-Based Business

veryard projects > cbb > mergers > approach

When two companies merge, there is often an expectation that the back-office processes and systems supporting the two businesses will merge onto a single platform. Indeed, this is typically the basis for much of the promised synergies and cost-savings.

This can be regarded as a form of component-based business. Instead of a single platform supporting a single business, the merged company operates a single platform that provides services to multiple businesses.

If the prior operating configurations of the merging companies were favourable, we might imagine that the post-merger integration could be effected extremely quickly and easily, simply by plugging them together as components of an enlarged structure. At present, this remains an unrealized dream for most large industries currently undergoing consolidation. However, component-based thinking is still valuable in managing the post-merger integration programme, and in preparing organizations and systems for potentially easier mergers in future.

Component-based thinking can be valuable when considering the final configuration of the enterprise.  It is even more important when considering a step-by-step transition to this configuration from the given starting point of two separate operations.  Dividing a merger programme into separate components typically makes it much easier to deliver results - provided of course that the components and steps are well chosen.


veryard projects - innovation for demanding change

Critical Success Factors

veryard projects > cbb > mergers > critical success factors

All significant risks identified, with clear ownership and strong management.
Clear linkage and synchronization between system change and business change.
Single managed programme for all ongoing development and migration projects.
Common business model (architecture), against which all projects are positioned, scoped and controlled.
Common managed knowledge base (repository) for detailed models and documentation.
Balanced organization, with the best people from both sides working harmoniously together.

veryard projects - innovation for demanding change

Pitfalls

veryard projects > cbb > mergers > pitfalls

Unproductive conflicts.  Cultural and personal clashes. 
Haste.  Excessive uncertainty & anxiety.  Everything stops until the new organization structure is announced and key management positions are resolved.
Lack of commitment.  Lack of clear ownership.  Disconnect between strategy and tactics.
Loss or erosion of key assets.  Break-up of effective teams.  Loss of morale.
Inward focus - overlooking important external opportunities and threats - neglecting customers and strategic partners.
Neglect strategic goals.  Neglect customer satisfaction.
Systems and technology merger disconnected from the business operational merger.

veryard projects - innovation for demanding change

Planning - before and after the merger

veryard projects > cbb > mergers > planning & analysis

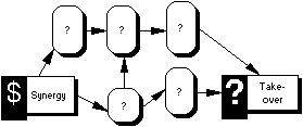
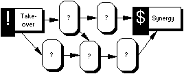
Take-overs and mergers are typically carried out in order to achieve various forms of synergy.
 
From Take-over to Synergy From Synergy to Take-Over
Synergy doesn't happen as an automatic result of a take-over. Starting from the take-over event, a series of activities and processes will be required to achieve the desired synergy.
It is probably a good idea to carry out a paper merger first, in order to check the value of the merged company. Starting from the desired synergy, a series of activities and processes will be required to evaluate the proposed take-over.

There is a strange paradox here. Both of the diagrams appear to make sense, but when we put them side-by-side, they appear to be quite contrary to one another. This is because the two diagrams (and the objects in them) have to be interpreted differently. After the take-over, we are talking about real activities; before the take-over, we are only talking about paper or hypothetical activities.

Analysing acquisition
 

"Final cause" added value of merged company
"Material cause" synergetic resources (the loci of added value)
"Formal cause" synergetic structures (the forms of synergy)
"Efficient cause" synergetic activities (resulting in synergy)

veryard projects - innovation for demanding change

Evaluating the merger

veryard projects > cbb > mergers > evaluation


It takes a long time before the success of merger can be properly seen.
 
Many mergers promise synergy and other benefits, but then undertake a 2-3 year integration programme before these benefits are forthcoming. To start with, management will typically claim that everything is on-track and on-target, and it will be difficult to disprove such claims.
Meanwhile, many people will feel negative about the merger, and will be looking to find fault. This may include former employees, especially staff made redundant, or managers whose power and position has been reduced. It may also include retained employees, who mourn (or seek to retain) the old culture. Recently, in an extreme case of this phenomenon, the former owner of a software house attempted a shareholder coup, trying to vote down the board of directors of the company that had bought him out.
Following a merger, there are often fierce battles for cultural and political supremacy between the managers and staff on both sides. Positions will have been seized, but may take a long time to consolidate.
Cultures on both sides may take decades to disappear. It is said that cultural traces of BEA and BOAC could be detected in British Airways twenty years after the merger.

Here's an incomplete evaluation checklist.
 
Have the promised synergies been achieved?
Have the promises or plans been quietly abandoned or revised since the merger?
Have external relationships with other companies been disrupted or cancelled?
Have internal power positions been consolidated?


veryard projects - innovation for demanding change

Business merger roadmap - streams

veryard projects > cbb > mergers > business streams

Manage Overall Merger Programme Overall Coordination
Corporate Affairs
Risk Management
Coordinate Marketing Customers & Channels
Products & Services
Coordinate Procurement Suppliers & Contracts
Coordinate Alliances Partnerships & Joint Ventures
Align Business Processes & Operations Workflow & Procedures
Methods & Capabilities
Align Organizations & Culture Departments & Teams
Career Paths & Opportunities
Responsibilities & Rewards
Combine Knowledge & Information Competitor and Market Intelligence
Best Practices
Combine Systems & Technology Hardware & Software - Architectures & Inventory
Computer Systems & Data Stores
Projects
Combine Facilities Property & Infrastructure

veryard projects - innovation for demanding change

Technology merger roadmap - streams

veryard projects > cbb > mergers > technology streams

Management Define goals and priorities for combined IT
Set expectations with key stakeholders.
Coordinate all aspects of migration.
Manage migration risks.
Organization Create merged management teams.
Announce staff retention and redeployment policies.
Identify knowledge and skills required for merged organization.
Merge key projects, and transfer key staff into appropriate positions.
Technology
& Services
Rationalize procurement for products & services.
Define target technical platform.
Confirm scaleability of platform.
Set standards for development and migration projects.
Acquire and install appropriate tools and infrastructure.
Project Combine all development and migration projects for both organizations under a single programme.
Create transition plans for releasing functionality during parallel operation.
Create transition plans for migration and decommissioning.
Architecture Combine architecture teams across both organizations.
Establish a single unified set of architectural models.
Map development and migration projects against architecture
Business--IT
Alignment
Understand business processes for each organization.
Establish business model for combined organization.
Define business process transition.
Synchronize business change and IT change.

veryard projects - innovation for demanding change

How we can help

veryard projects > cbb > mergers > how we can help

Here are some of the areas where our consultants may be able to add value to your planning and management.
 
Merger Readiness Planning Restructuring your business processes, organization and technical services (including IT) so that new acquisitions can be accommodated more smoothly and cost-effectively.
Merger Prospect Evaluation Checking a specific opportunity for structural and operational compatibility, and producing an outline strategy for implementing the merger if it goes ahead..
Post-Merger Programme Planning all the complex activities required after the acquisition has taken place, up to and including the delivery of the promised benefits to the various stakeholders.
Data Migration Bringing IT services onto a common platform.


top

home page

contact us

This page last updated on October 19th, 2001
Copyright © 2000-2001 Veryard Projects Ltd 
http://www.veryard.com/business/mergers.htm