veryard projects - innovation for demanding changemodellingrough notes

process modelling


veryard projects - innovation for demanding change

Process Descriptions - Synchronic versus Diachronic

veryard projects > modelling > process modelling > synchronic / diachronic


There are two ways of describing a business process or software process.
 
Diachronic
 Synchronic
Sequential.  Task-oriented.  Parallel.  Technique-oriented.
Concerned with progress through activities.  Concerned with the collaboration between activities.
Best described procedurally, in terms of sequence, selection and iteration.  Best described declaratively, in terms of objects and their responsibilities and exchanges.
Works best for describing individual scenarios.  Totally generalized diagrams are usually too complex to read.  Works best for describing general rules.  Detail can be encapsulated in subordinate diagrams.
Supports project management (i.e. project scheduling, task assignment, progress management, …).  Supports the management of capability (i.e. skills training, organization structures, standards, tools provision, …).
Measured using productivity and progress metrics  Measured using quality and service metrics.
more Software methodologies - two perspectives

Procedural and declarative specification

Zone Theory


veryard projects - innovation for demanding change

Process Modelling Patterns

veryard projects > modelling > process modelling > patterns

Acqusition Take-overs and mergers are carried out in order to achieve various forms of synergy.
Benchmarking System Performance
Cost-cutting What is below is decreased, to the benefit of what is above.

veryard projects - innovation for demanding change

Acquisition and Synergy

veryard projects > modelling > process modelling > patterns > synergy

Take-overs and mergers are carried out in order to achieve various forms of synergy.
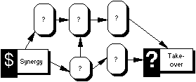
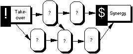
From Take-over to Synergy From Synergy to Take-Over
Synergy doesn't happen as an automatic result of a take-over. Starting from the take-over event, a series of activities and processes will be required to achieve the desired synergy.
It is probably a good idea to carry out a paper merger first, in order to check the value of the merged company. Starting from the desired synergy, a series of activities and processes will be required to evaluate the proposed take-over.
There is a strange paradox here. Both of the diagrams appear to make sense, but when we put them side-by-side, they appear to be quite contrary to one another. This is because the two diagrams (and the objects in them) have to be interpreted differently. After the take-over, we are talking about real activities; before the take-over, we are only talking about paper or hypothetical activities.

Analysing acquisition

 
"Final cause" added value of merged company
"Material cause" synergetic resources (the loci of added value)
"Formal cause" synergetic structures (the forms of synergy)
"Efficient cause" synergetic activities (resulting in synergy)
more Mergers and Acquisitions


Processes on processes

There are some processes that focus on process executions, such as plan xyz, monitor xyz, control xzy, where xyz is a process.

There are also some processes that focus on the processes themselves. These include model xyz, design xyz, improve xyz, simplify xyz, optimize xyz.


Simplicity, complexity, complication

What does simplify xyz mean? Is simplification objective or subjective? ‘It is tempting to believe that perhaps complementarity between simplicity on one level and complexity on another always exists.’ [Slobodkin, pp 6-7]

‘The opposite of simplification is "complication", adding new parts or concepts to a simpler system. This may be done for several reasons. For example, compare the dozens of dials, buttons, and switches in a modern airplane cockpit with the small number of controls in a World War I fighter plane, but then compare the speed, reliability, and safety of modern planes with those of sixty years ago. Complicating the cockpit was a trivial price to pay for the improvement.’ [Slobodkin, pp 6-7]


References

L.B. Slobodkin, Simplicity and Complexity in Games of the Intellect

Cambridge MA: Harvard University Press, 1993

buy from amazon - uk buy from amazon - usUS catalogue entry
includes note
from author


veryard projects - innovation for demanding change

veryard projects is a technology consultancy, based in London

email

Please contact us to discuss these ideas further.

more

modelling